DB Summary 25.01.2022
Relationale Algebra
| Operation | Erklärung | Beispiel |
|---|---|---|
| \(\sigma\) | Selektion/ WHERE |
\(\sigma_{Länge>3}(R)\) |
| \(\pi\) | Projektion/SELECT |
\(\pi_{}\) |
| \(\bowtie\) | NATURAL JOIN |
|
ERD
Korrektes ER-Diagramm
Mit folgenden Regeln, wird ein korrektes ER-Diagramm erstellt:
- Definiere die unabhängige Entitäts-Typen (Tabellen, welche keine Fremdschlüssel besitzen)
- Definiere die Beziehungs-Typen (Rhomben), wenn mehr als eine unabhängige Entitäts-Typen existiert.
- Definiere die Attribute und Schlüssel
- Wandle Beziehungstypen ind zusammengesetzte Entitätstypen um, wenn nötig
- Definiere die ID-Abhänigen Entitästypen (Pfeile mit ID)
- Definiere die ISA-Abhänigen Entitätstypen (Pfeile mit ISA)
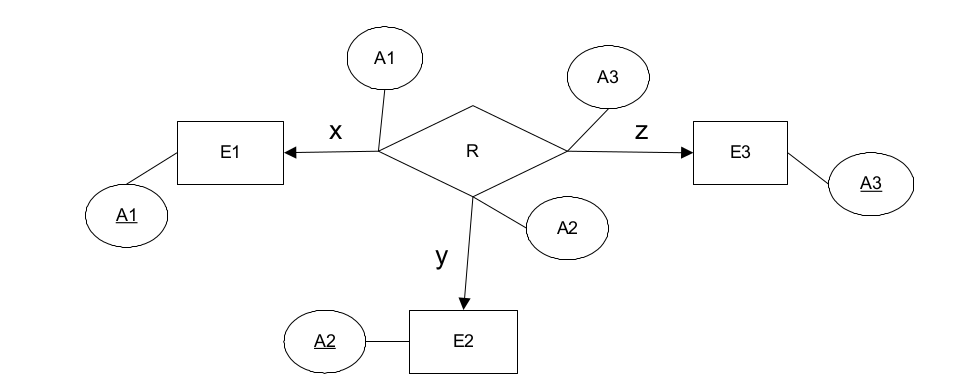
Schlüssel Gruppen
| Diagramm | Schlüssel Beschreibung |
|---|---|
| E 1 -- <> -- 1 F | Schlüssel von E und F in seperaten Schlüsselgruppen |
| E 1 -- <> -- m F | Schlüssel von F |
| E m -- <> -- 1 F | Schlüssel von E |
| E m -- <> -- m F | Schlüssel von E und F in einer Schlüsselgruppe |
| x | y | z | Schlüssel |
| ---- | ---- | ---- | ------------------ |
| m | m | m | {A1, A2, A3} |
| m | m | 1 | {A1, A2} |
| m | 1 | m | {A1, A3} |
| m | 1 | 1 | {A1, A2}, {A1, A3} |
| 1 | m | m | {A2, A3} |
| 1 | m | 1 | {A2, A1}, {A2, A3} |
| 1 | 1 | m | {A3, A1}, {A3, A2} |
| 1 | 1 | 1 | {A1}, {A2}, {A3} |
ID und ISA Bezihungen
- ISA - Übernimmt den Schlüssel
- ID - Erweirtert den Schlüssel
SQL
Reihenfolge
In der folgenden Reihenfolge werden SQL Queries abgearbeitet. Speziell wo WHEREund HAVING steht.
-
FROM
-
WHERE
-
GROUP BY
-
HAVING
-
SELECT
-
ORDER BY
Stuff
Datenarten
| Name | Erklärung | Beispiel |
|---|---|---|
| Strukturierte Daten | Daten mit fest vorgegebenen Struktur | DBs |
| Semi-strukturierte Daten | Daten, mit unvollstöndigen Struktur | JSON, XML,... |
| Unstrukturierte Daten | Daten, ohne explizite Struktur | Text, Bilder, Film, ... |

Eine Domäne ist ein Wertebereich
- Domäne: Ein Wertebereich, bzw. Datentyp
- Attribute: Eigenschaften von Tabellen
- Attributwerte: Die eigentlichen Werte eines Attributes
- n-Tupel: Eine Reihe in einer Relation, eine Menge von Attributwerten
- Relationsschema, Format, Heading, Relationsvariable: Menge von Attributen
- Relation: Relationsschema und Menge von Tupeln zusammen
- Sind ungeordnet
- Schlüssel: Identifiziert ein Tupel eindeutig
- Surrogatschlüssel: Künstlicher Schlüssel (zB. eine ID)
- Primärschlüssel: Ein Schlüssel, auf welchen ein Fremdschlüssel zeigt